11th maths integral calculus formulas Kalvi samacheer integral calculus

Integral Calculus Formula Sheet 0

Integral Calculus Formula Sheet 0 studylib.net

calculus

Integral Formulas | List Of Basic Integral Formulas - PDF

Integral Formulas | List of Basic Integral Formulas - PDF byjus.com

formulas integration

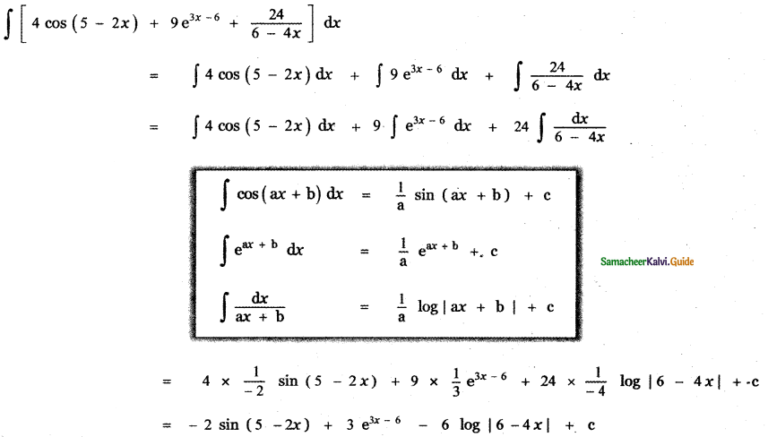
Samacheer Kalvi 11th Maths Solutions Chapter 11 Integral Calculus Ex 11

Samacheer Kalvi 11th Maths Solutions Chapter 11 Integral Calculus Ex 11 samacheerguru.com

samacheer kalvi maths calculus guru

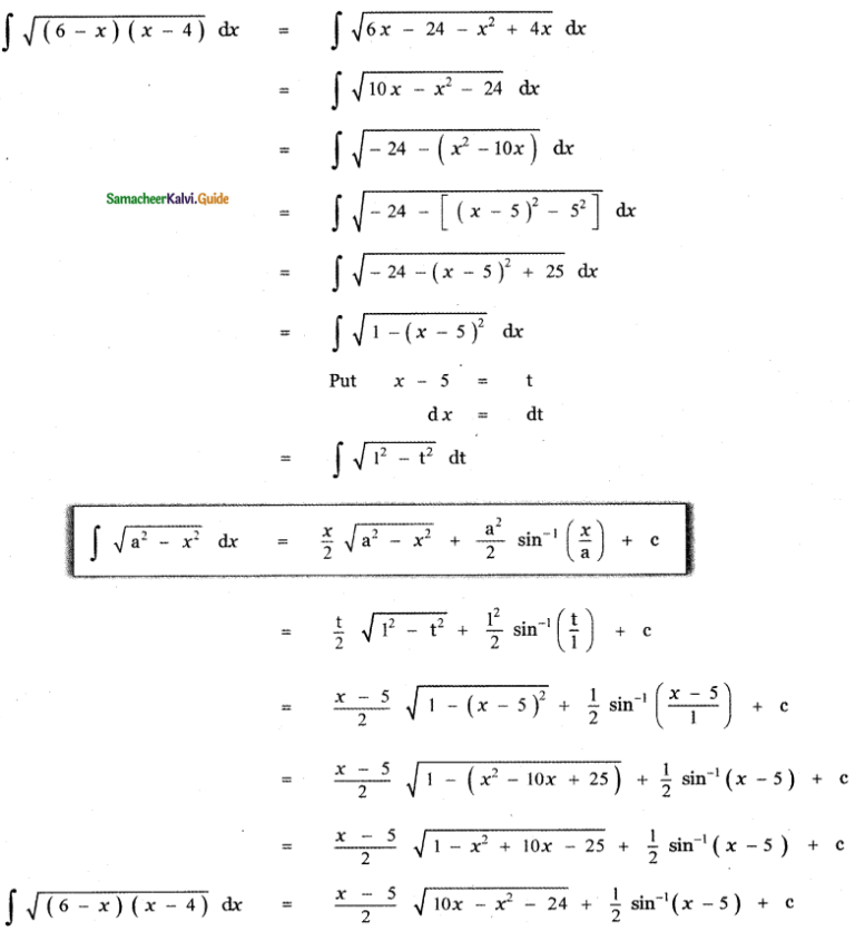
Samacheer Kalvi 11th Maths Guide Chapter 11 Integral Calculus Ex 11.12

Samacheer Kalvi 11th Maths Guide Chapter 11 Integral Calculus Ex 11.12 tnboardsolutions.com

samacheer kalvi integral

N/c Physics - Physics Mania

N/c Physics - Physics Mania physicsmanias.blogspot.com

formulas mathematics integration calculus integrals maths studying equations integral mechanics integrales n5 projectile trigonometry karim inverse magic differentiation mathe scienza

CBSE Notes Class 12 Maths Indefinite Integrals In 2020 | Math Notes

CBSE Notes Class 12 Maths Indefinite Integrals in 2020 | Math notes www.pinterest.com

calculus formulas integrals integral cbse mathematics 12th indefinite identities trig differentiation ncert matematicas aglasem differential trigonometry mathe saraswati diferencial calculo

Maths Formulas Class 11th Pdf For Android - APK Download

Maths formulas class 11th pdf for Android - APK Download apkpure.com

formulas maths class pdf 11th apkpure app description

Samacheer Kalvi 11th Maths Guide Chapter 11 Integral Calculus Ex 11.3

Samacheer Kalvi 11th Maths Guide Chapter 11 Integral Calculus Ex 11.3 tnboardsolutions.com

kalvi samacheer integral calculus

Pin By Felicia Mercer On Math | Math Formulas, Basic Math, Formula Chart

Pin by Felicia Mercer on math | Math formulas, Basic math, Formula chart www.pinterest.com

algebra physics formula formulas math chart grade cheat 11th sheet maths equations charts basic conversion science geometry state sheets school

Basics Of Differentiation And Integration | Differential Calculus, Ap

Basics of Differentiation and Integration | Differential calculus, Ap www.pinterest.com

differentiation calculus formulas

Formulas mathematics integration calculus integrals maths studying equations integral mechanics integrales n5 projectile trigonometry karim inverse magic differentiation mathe scienza. Algebra physics formula formulas math chart grade cheat 11th sheet maths equations charts basic conversion science geometry state sheets school. Pin by felicia mercer on math


0 Response to "11th maths integral calculus formulas Kalvi samacheer integral calculus"

Post a Comment