maths quiz for class 9 polynomials Polynomials class 9 math

NCERT Solution For Class 9th: Chapter 2, Polynomials

NCERT Solution for class 9th: Chapter 2, Polynomials jagpreet888.blogspot.com

class solutions 9th ncert maths polynomials chapter solution pdf

Polynomials, Class 9 Mathematics NCERT Solutions

Polynomials, Class 9 Mathematics NCERT Solutions www.evidyarthi.in

polynomials ncert

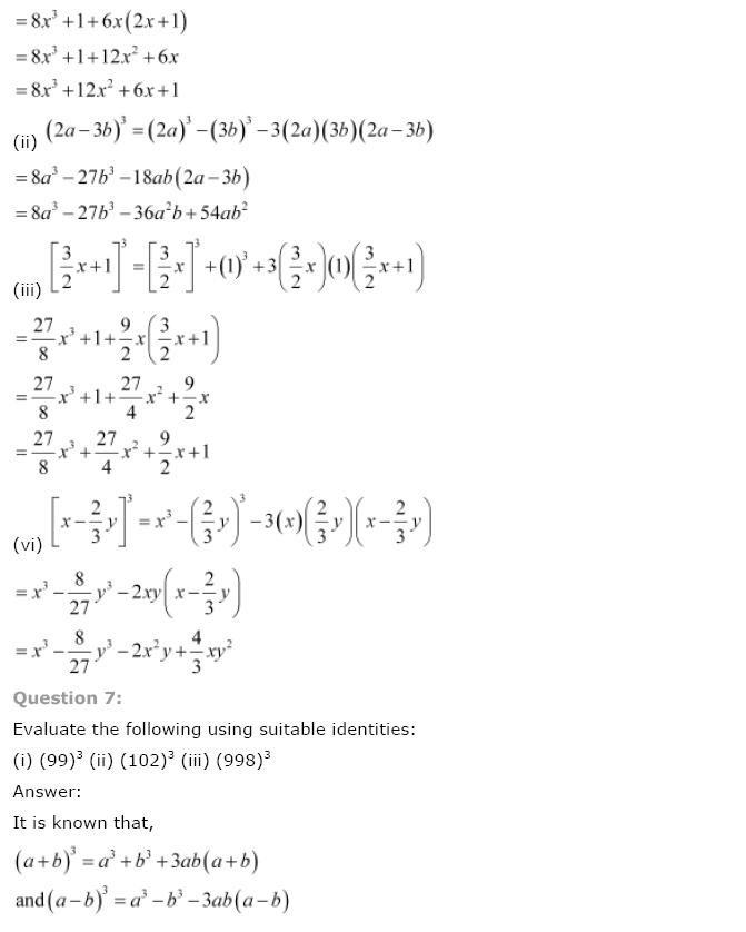
Polynomials Class 9 Math - Studypur

Polynomials class 9 math - Studypur www.studypur.com

polynomials

NCERT Solutions For Class 9 Maths Chapter 2 Polynomials Ex 2.5

NCERT Solutions for Class 9 Maths Chapter 2 Polynomials Ex 2.5 www.learncbse.in

maths ncert polynomials

NCERT Solutions For Class 9 Maths Chapter 2 Polynomial Ex 2.5 - BYJU’S

NCERT Solutions for Class 9 Maths Chapter 2 Polynomial Ex 2.5 - BYJU’S byjus.com

class ncert solutions maths chapter polynomial cbse polynomials

NCERT Solutions For Class 9 Maths Chapter 2 Polynomials Ex 2.5

NCERT Solutions for Class 9 Maths Chapter 2 Polynomials Ex 2.5 www.learncbse.in

ncert polynomials

Important Questions Class 9 Maths Chapter 2 Polynomial Part 1

Important Questions Class 9 Maths Chapter 2 Polynomial Part 1 www.pinterest.com

linear byjus exam polynomials polynomial ncert cbse algebra solving

NCERT Solutions For Class 9 Maths Chapter 2 Polynomials Ex 2.2

NCERT Solutions for Class 9 Maths Chapter 2 Polynomials Ex 2.2 www.learncbse.in

ncert polynomials

Grade 9 Mathematics ~ Polynomials

Grade 9 Mathematics ~ Polynomials studylib.net

grade polynomials mathematics math test unit answer

Grade 9 Polynomials Class 9 Worksheet Pdf – Kidsworksheetfun

Grade 9 Polynomials Class 9 Worksheet Pdf – Kidsworksheetfun kidsworksheetfun.com

class polynomials worksheet polynomial chapter grade pdf worksheets maths important questions template

Grade 9 mathematics ~ polynomials. Polynomials, class 9 mathematics ncert solutions. Grade polynomials mathematics math test unit answer


0 Response to "maths quiz for class 9 polynomials Polynomials class 9 math"

Post a Comment